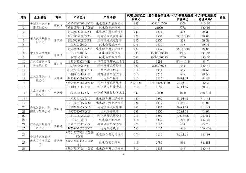
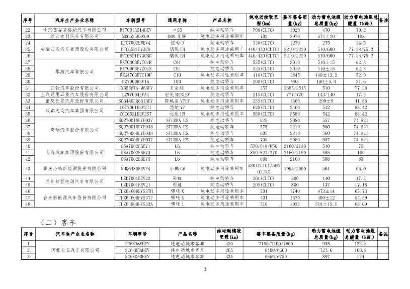
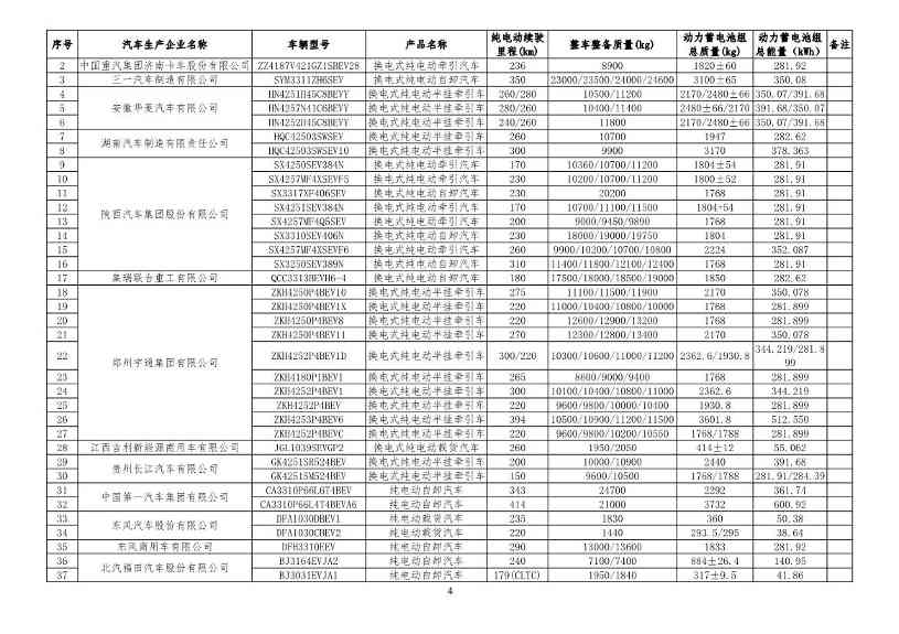
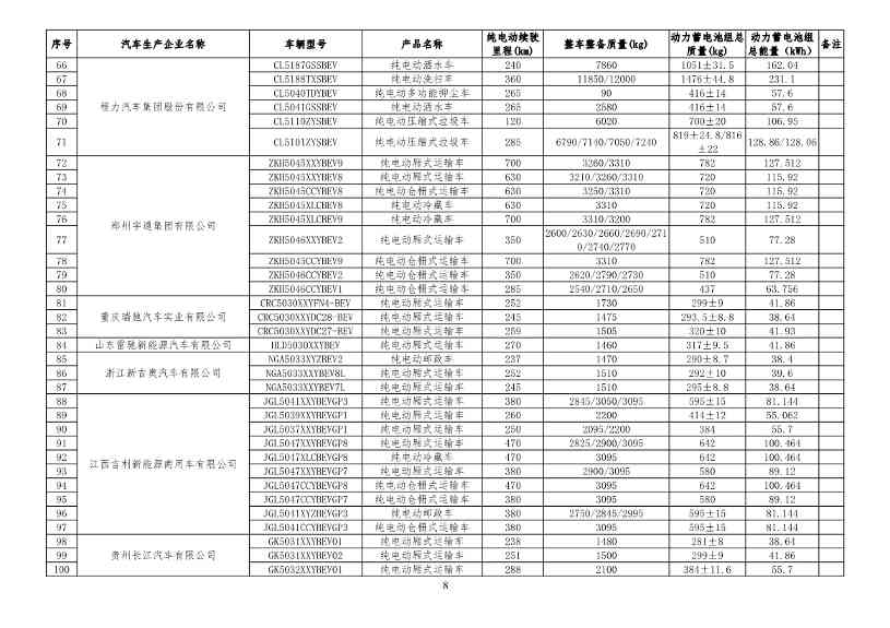
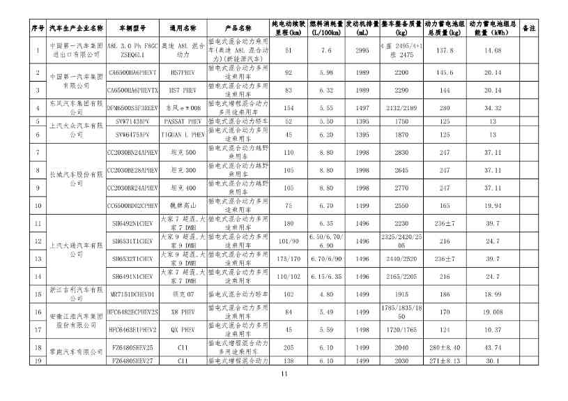
近日,工业和信息化部发布公告,现将许可的《道路机动车辆生产企业及产品》(第380批)以及经商国家税务总局同意的《享受车船税减免优惠的节约能源使用新能源汽车车型目录》(第五十九批)、《减免车辆购置税的新能源汽车车型目录》(第三批)予以公告,其中包括多型号的新能源环卫车辆。
中华人民共和国工业和信息化部公告
2024年第2号
根据《中华人民共和国行政许可法》、《国务院对确需保留的行政审批项目设定行政许可的决定》、《财政部 税务总局 工业和信息化部 交通运输部关于节能 新能源车船享受车船税优惠政策的通知》(财税〔2018〕74号)、《工业和信息化部 财政部 国家税务总局关于调整享受车船税优惠的节能 新能源汽车产品技术要求的公告》(2022年第2号)、《财政部 税务总局 工业和信息化部 科技部关于免征新能源汽车车辆购置税的公告》(2017年第172号)、《财政部 税务总局 工业和信息化部关于延续和优化新能源汽车车辆购置税减免政策的公告》(2023年第10号)、《工业和信息化部 财政部 税务总局关于调整减免车辆购置税新能源汽车产品技术要求的公告》(2023年第32号)等有关规定,现将许可的《道路机动车辆生产企业及产品》(第380批)以及经商国家税务总局同意的《享受车船税减免优惠的节约能源 使用新能源汽车车型目录》(第五十九批)、《减免车辆购置税的新能源汽车车型目录》(第三批)予以公告。
附件:
1.道路机动车辆生产企业及产品(第380批).doc
2.享受车船税减免优惠的节约能源 使用新能源汽车车型目录(第五十九批).doc
3.减免车辆购置税的新能源汽车车型目录(第三批).doc
工业和信息化部
2024年3月8日






















