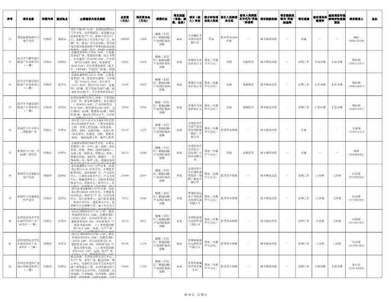
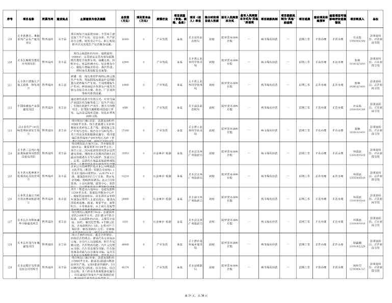
近日,贵州省发展改革委会发布了2024年第一批向社会资本推介项目“三张清单”,鼓励社会资本参与重大工程和补短板、重点产业链供应链、特许经营项目建设。
其中特许经营项目包括火石坡污水处理厂(2期)及配套管网建设项目、新天电子信息产业园(振华污水处理厂)、洛湾工业园污水处理厂建设项目、贵安新区产业园区垃圾收集处理设施项目(贵安新区城镇垃圾收集处理设施项目)、纳雍县垃圾焚烧发电项目、松桃苗族自治县城乡生活垃圾收运系统建设项目特许经营权、黎平县餐厨垃圾无害化处理厂建设项目、贵州省黔南州长顺县城乡生活垃圾收运处置暨污水治理项目等生态环保项目。



































